Осевые вентиляторы реверсивные серии ОВР
Купить или заказать расчёт можно через сайт:

Осевые реверсивные вентиляторы используются при создании систем вентиляции в общественных, промышленных и сельскохозяйственных зданиях. Ключевой особенностью конструкций данного типа является их способность изменять направление перемещения воздуха относительно плоскости вентилятора путем изменения направления вращения лопастей.
При этом производительность вентилятора при работе в любом из режимов вращения является практически одинаковой (коэффициент реверсивности у устройств данного класса составляет 0.95% или более).
Осевые реверсивные вентиляторы характеризуются высокой надёжностью и долговечностью. Практически все элементы конструкции выполнены из металла, что обеспечивает дополнительную прочность и износоустойчивость устройства.
Дополнительно существует возможность крепления вентиляторов на стены (при условии, что устройство комплектуется крепёжными планками).
Эксплуатация вентиляционного оборудования серии ОВР не представляет собой сложности и одновременно эффективно обеспечивает циркуляцию воздуха. Мощность циркуляционных осевых вентиляторов серии ОВР может варьироваться в зависимости от модификации устройства. Выбор конкретного вентилятора серии ОВР должен определяться в зависимости от особенностей эксплуатации устройства, а также от объемов помещений, в которых предполагается обустройство систем вентиляции. Для того, чтобы достичь максимальной эффективности использования осевых реверсивных вентиляторов серии ОВР, лучше доверить подбор вентиляторов профессионалам.
Сотрудники МОСЕВРОМАШ обладают колоссальным опытом поставок вентиляционного оборудования и будут рады оказать потребителям нашего предприятия помощь в выборе осевых реверсивных вентиляторов серии ОВР.
|
Вентиляторы выполнены в цилиндрическом корпусе из оцинкованной стали с фланцами с обеих сторон и с отверстиями для крепления к круглым воздуховодам. Могут комплектоваться основанием для монтажа на плоских поверхностях и защитной решёткой со стороны электродвигателя. Производительность вентиляторов практически одинаковая в обоих направлениях. |
|||||||||||||||||||||||||||||||||||||||||||||||||||
Переключение реверса у вентиляторов ОВРПереключение направления вращения данных вентиляторов можно осуществлять переброской фаз вручную, либо используя реверсивный рубильник. Такие рубильники предназначены для прямого и обратного пуска или остановки трёхфазных асинхронных электродвигателей с внешним ротором. Реверсирование в этих рубильниках осуществляется путём переключения фаз питания. Рубильник реверсивный обычно имеет высокий показатель стойкости к коротким замыканиям, однако его всё же желательно использовать в комплекте с автоматами защиты, например, с автоматическими выключателями М611. |
|||||||||||||||||||||||||||||||||||||||||||||||||||
| Технические характеристики | |||||||||||||||||||||||||||||||||||||||||||||||||||
|
|||||||||||||||||||||||||||||||||||||||||||||||||||
|
Как купить вентиляторы.
Доставка. |
|||||||||||||||||||||||||||||||||||||||||||||||||||
| Габаритные размеры осевых реверсивных вентиляторов ОВР, мм. | |||||||||||||||||||||||||||||||||||||||||||||||||||
|
|||||||||||||||||||||||||||||||||||||||||||||||||||
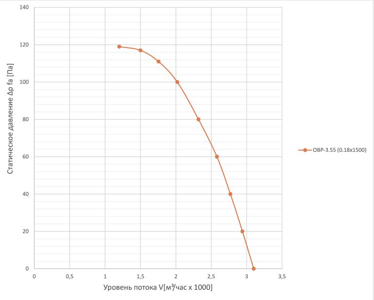
| Аэродинамические характеристики осевых реверсивных вентиляторов ОВР | |||||||||||||||||||||||||||||||||||||||||||||||||||
|
|
|||||||||||||||||||||||||||||||||||||||||||||||||||
- Вентиляторы осевые ЕВРОМАШ ВО06-300, ВО14-320, ВО12-330
- Осевые оконные вентиляторы ВО- серии "220"
- Осевые оконные вентиляторы ВО- серии "380" на 380В
- Осевые вентиляторы ВО- серии "КЛИМАТ". Для птицефабрик, свиноферм, коровников, овощехранилищ.
- Торцевые стеновые и туннельные осевые вентиляторы для охлаждения животных
- Осевые вентиляторы на защитной решетке для охлаждения оборудования
- Разгонные осевые канальные вентиляторы ВОК для птичников, коровников, свинарников
- Малошумные осевые фланцевые вентиляторы ВО-Ф
- Вентиляторы струйные осевые ЕВРОМАШ ВС 10-400
- Осевые вентиляторы реверсивные серии ОВР
- Осевые реверсивные вентиляторы для сушильных камер
- Автоматика для управления вентиляторами и вентоборудованием

Данные вентиляторы применяются для перемещения воздуха в прямом и обратном направлении посредством изменения направления вращения рабочего колеса.













